مقدمة:
يُعدُّ التنويع الاقتصادي استراتيجية اقتصادية بالغة الأهمية، إذ يُساعد الدول على توزيع مخاطرها وتعزيز قوتها الاقتصادية بشكلٍ عام وعندما يعتمد اقتصاد ما بشكلٍ كبيرٍ على قطاعٍ أو قطاعاتٍ مُحددة، يُمكن أن يُصبح الحفاظ على النمو الاقتصادي أمرًا صعبًا. فأيُّ تراجعٍ في هذه القطاعات يُمكن أن يُعرِّض الدولةَ للخطر اقتصاديًا إذا لم تستطع القطاعات الأخرى دعمه بشكلٍ كافٍ. ويهدف هذا المقال إلى تحليل التوزع النوعي القطاعي للناتج المحلي الاجمالي في سورية خلال الفترة (1990-2020) مع التركيز على التغيرات الهيكلية وأبرز العوامل المؤثرة في تطور كل قطاع.
.1- تعريف التنويع الاقتصادي:
تُعرِّف الأمم المتحدة التنويعَ الاقتصادي بأنه “عملية تحويل الاقتصاد من مصدر دخلٍ واحدٍ إلى مصادر متعددةٍ من مجموعةٍ متناميةٍ من القطاعات والأسواق”. ويُصنّف عادةً ضمن فئتين: تنويع المنتجات وتنويع الصادرات. يشير الأول إلى تنويع الاقتصاد من حيث السلع والخدمات التي يُنتجها، بينما يُعنى الثاني بإدخال منتجاتٍ جديدةٍ إلى محفظة صادرات الاقتصاد واقتحام أسواقٍ جديدة.
2- أهداف التنويع الاقتصادي:
يهدف التنويع الى تحقيق مجموعة من الأهداف منها:
3-التوزع النوعي للناتج المحلي الاجمالي في سورية:
تعد استراتيجية التنويع من الاستراتيجيات الفعَالة التي تساهم في تحقيق النمو الاقتصادي من خلال رفع مساهمة القطاعات الانتاجية غير النفطية في الناتج المحلي الاجمالي، ويشير الجدول رقم(1) إلى التوزع القطاعي للناتج المحلي الاجمالي في سورية:
الجدول رقم (1)
التوزع النوعي للناتج المحلي الاجمالي في سورية أعوام مختلفة
العام | الزراعة | الصناعة والتعدين | البناء والتشييد | تجارة الجملة والمفرق | النقل | المال والتامين | خدمات المجتمع | الخدمات الحكومية | خدمات لا تهدف للربح |
1990 | 28% | 20% | 4% | 23% | 10% | 4% | 2% | 10% | 0% |
1995 | 28% | 14% | 4% | 26% | 12% | 5% | 2% | 9% | 0% |
2000 | 25% | 30% | 3% | 15% | 13% | 4% | 2% | 8% | 0% |
2005 | 20% | 28% | 4% | 20% | 11% | 5% | 2% | 11% | 0% |
2010 | 16% | 23% | 4% | 20% | 13% | 5% | 5% | 14% | 0% |
2015 | 15% | 9% | 4% | 14% | 16% | 3% | 6% | 32% | 0% |
2020 | 14% | 13% | 4% | 17% | 18% | 2% | 3% | 29% | 0% |
المصدر: اعداد الباحثة بناء على أرقام المجوعة الاحصائية السورية.
أبرز التحولات الهيكلية: توضح البيانات الواردة في الجدول رقم (1) بأنه قد حدثت بعض التغيرات في تركيب الناتج المحلي الإجمالي في سورية كالتالي:
والشكل البياني التالي يوضح مساهمة كل قطاع في الناتج المحلي الاجمالي:

الشكل رقم(1) التوزع النوعي للناتج المحلي الاجمالي في سورية أعوام مختلفة :اعداد الباحثة اعتمادأ على الجدول رقم(1).
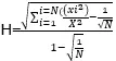
4-قياس التنوع الاقتصادي: ويمكن قياس التنوع الاقتصادي بعدة مؤشرات إحصائية، يعتمد بعضها على قياس ظاهرة التشتت كمعامل الاحتلاف، أو على مفهوم التنوع كمعامل هيرفندال-هيرشمان الذي يعد الأكثر شيوعاً، ويعتمد هذا المعامل على قياس تركيب وبنية المتغير ومدى تنوعه، ويبرز التغير الهيكلي الذي طرأ عليه ويحسب بالعلاقة التالية:

حيث(N): عدد النشاطات، (Xi): قيمة المتغير في النشاط(i)، (X): القيمة الإجمالية للمتغير في جميع النشاطات، وتتراوح قيمة معامل هيرشمان بين الصفر والواحد أي (0£ H £1)،
H=0 يعني أن هناك تنوع كامل في الاقتصاد
H=1 فإن مقدار التنوع يكون معدوماً، والناتج متركزاً في نشاط واحد من النشاطات الاقتصادية.
الجدول رقم(2)
نتائج تقدير مؤشر هيرشمان للتنوع الاقتصادي في سورية
1990 | 1995 | 2000 | 2005 | 2010 | 2015 | 2020 |
0.164 | 0.159 | 0.171 | 0.147 | 0.152 | 0.169 | 0.190 |
وبحساب قيمة معامل هيرشمان تشير النتائج وفقاً لبيانات الجدول السابق إلى:
بناء على الاستنتاجات السابقة يمكن القول أن الاقتصاد السوري يمتلك درجة معينة من التركز المعتدل، ويحتاج إلى تطوير سياسات اقتصادية تدفعه إلى مزيد من التنوع وذلك بهدف تعزيز النمو الاقتصادي بما ينعكس على متوسط دخل الفرد وتطوير القطاعات الزراعية والصناعية والخدمية واضافة قطاع التكنولوجيا كعنصر أساسي لبناء سورية الحديثة، وربط القطاعات بسلاسل إنتاج متكاملة.
التوصيات:
المراجع والمصادر:
-United Nations Conference on Trade and Development (UNCTAD) 2016
– Hirschman, A. O. (1964).The American Economic Review,Vol. 54, No. 5, pp. 761–762
https://www.jstor.org/stable/1818582

كلية العلوم الإدارية والمالية - الجامعة الوطنية الخاصة